JSRM-国家标准物质销售平台www.bzwz.net.cn/shop
全国免费客服热线:400-885-6122
产品信息
编号:NIFDC-195012 英文:
名称:四(2,4-二叔丁基酚)-4,4-联苯基二亚磷酸酯(抗氧剂P-EPQ) 品牌:中检院
CAS:119345-01-6 分类:中国药典CP(中检院对照品)
包装 规格 库存 售价 数量
100mg,含量/限量测定用 0 358.0 加入购物车
详细描述:(样板仅参考,具体需参照对应批次证书)

国家药品标准物质使用说明书

四(2,4-二叔丁基酚)-4,4-联苯基二亚磷酸酯(抗氧剂 P-EPQ)

Tetra (2,4-di-tert-butylphenol) 4,4-biphenyl diphosphate (Antioxidant P-EPQ)

【类别】药包材对照物质

【批号】195012-201901

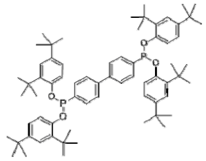
【结构式】

 

【分子式】C68H92O4P2

【分子量】1035.4

【CAS 号】119345-01-6

【用途】本品用于包装材料中添加剂四(2,4-二叔丁基酚)4,4-联苯基二亚磷酸酯(抗氧剂 P-EPQ)的液相色谱法限量测定用。

【特性量值】含量为 98.2%。

【使用方法】使用前不需干燥处理。

【包装】棕色西林瓶

【规格】100mg/支

【贮藏】避光,10-30℃保存。

【注意事项】建议打开包装后一次性使用完。

【图谱】

峰 1 至峰 7 均为 P-EPQ,P-EPQ 量以峰 1~7 面积总和计

色谱条件:

色谱柱:XBridge C18,4.6mm×250mm,3.5μm

柱温:30℃

流速:0.8ml/min

检测波长:270nm

流动相:乙腈-四氢呋喃(80:20)

进样量:20μl

精密称取本品适量,用乙腈-四氢呋喃(1:1)混合溶液配制对照品溶液。以 1~8 峰面积之和计算。

【有效期】国家药品标准物质不设具体有效期,按照规定条件保存的样品,在中检院发布停用通知前有效。

声明:

1.请按本品说明书规定使用,若作他用,用户须自行证明适用性;

2.因用户使用或储存不当所引起的损害或投诉,用户自行承担相关责任;

3.用户收到本品后应立即核对品种、数量、包装等,若出现质量、数量等不符,相关赔偿只限于标准物质本身,不涉及其他任何损失。


©copyRight 2024 北京嘉世玉禾化工技术研究院 All Rights Reserved. 京ICP备15024501号-1