JSRM-国家标准物质销售平台www.bzwz.net.cn/shop
全国免费客服热线:400-885-6122
产品信息
编号:NIFDC-112050 英文:
名称:17-氢-9-去氢穿心莲内酯 品牌:中检院
CAS:1418130-80-9 分类:中国药典CP(中检院对照品)
包装 规格 库存 售价 数量
10mg/支,鉴别/检查用 0 1349.0 加入购物车
详细描述:(样板仅参考,具体需参照对应批次证书)

国家药品标准物质使用说明书

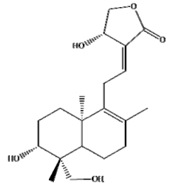
17-氢-9-去氢穿心莲内酯

17-hydro-9-dehydroandrographapholide

【类别】化学对照品

【批号】112050-201901

【结构式】

【分子式】C20H30O5

【分子量】350.45

【CAS 号】1418130-80-9

【 用 途 】 17-氢-9-去氢穿心莲内酯(17-hydro-9-dehydroandrographapholide) 对照品系供国家食品药品监督管理局标准 WS-10863(ZD-0863)-2002-2011Z 喜炎平注射液项下指纹图谱检查用。

【使用方法】使用前不需干燥处理。

【包装】V 型西林瓶

【规格】10mg/支

【贮藏】-20℃保存。

【有效期】国家药品标准物质不设具体有效期,按照规定条件保存的样品,在中检院发布停用通知前有效。

声明:

1.请按本品说明书规定使用,若作他用,用户须自行证明适用性;

2.因用户使用或储存不当所引起的损害或投诉,用户自行承担相关责任;

3.用户收到本品后应立即核对品种、数量、包装等,若出现质量、数量等不符,相关赔偿只限于标准物质本身,不涉及其他任何损失。


©copyRight 2024 北京嘉世玉禾化工技术研究院 All Rights Reserved. 京ICP备15024501号-1