JSRM-国家标准物质销售平台www.bzwz.net.cn/shop
全国免费客服热线:400-885-6122
产品信息
编号:NIFDC-100317 英文:Betacyclodextrin
名称:倍他环糊精(β环糊精、β-环糊精) 品牌:中检院
CAS:7585-39-9 分类:中国药典CP(中检院对照品)
包装 规格 库存 售价 数量
ZJY-100mg 含量测定(避光,密封,10-30℃) 0 156.0 加入购物车
详细描述:(样板仅参考,具体需参照对应批次证书)

国家药品标准物质使用说明书

倍他环糊精

Betacyclodextrin

【类别】化学对照品

【批号】100317-202406

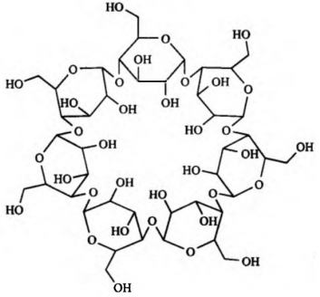
【结构式】

 

【分子式】(C6H10O5)7

【分子量】1134.99

CAS 号】7585-39-9

【用途】供《中国药典》阿尔法环糊精和伽马环糊精的有关物质检查用;供《中国药典》倍他环糊精的鉴别、有关物质检查和含量测定用。

【特性量值】按(C6H10O5)7计,含量为 88.5%。

【使用方法】使用前不需干燥处理。

【包装】棕色安瓿

【规格】100mg/支

【贮藏】避光,密封,10-30℃保存。

【注意事项】建议开封后一次性使用完毕。

【有效期】国家药品标准物质不设具体有效期,按照规定条件保存的样品,在中检院发布停用通知前有效。

声明:

1.请按本品说明书规定使用,若作他用,用户须自行证明适用性;

2.因用户使用或储存不当所引起的损害或投诉,用户自行承担相关责任;

3.用户收到本品后应立即核对品种、数量、包装等,若出现质量、数量等不符,相关赔偿只限于标准物质本身,不涉及其他任何损失。


©copyRight 2024 北京嘉世玉禾化工技术研究院 All Rights Reserved. 京ICP备15024501号-1