国家药品标准物质使用说明书
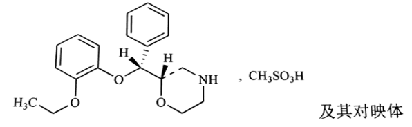
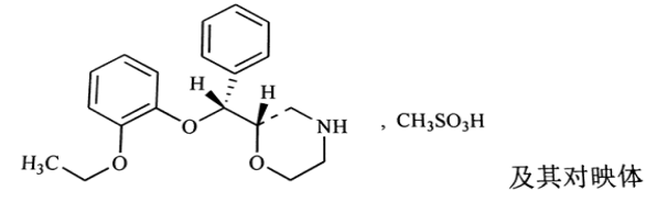
甲磺酸瑞波西汀杂质 Ⅰ
((±)-(2R,S)-2-[(S,R)-(2-乙氧基苯基)苯甲基]吗啉)
Reboxetine Mesilate Impurity Ⅰ
【类别】化学对照品
【批号】171303-202001
【结构式】

【分子式】C19H23NO3·CH4SO3
【分子量】409.50
【CAS 号】1923100-27-9
【用途】本品供中国药典(二部)甲磺酸瑞波西汀、甲磺酸瑞波西汀片、甲磺酸瑞波西汀胶囊中 HPLC 外标法有关物质检查时,作为对照用;供 HPLC 法含量测定时,作系统适用性考察用。
【特性量值】以 C19H23NO3·CH4SO3计,含量为 99.6%。
【使用方法】使用前不需干燥处理。
【包装】棕色西林瓶
【规格】50mg/支
【贮藏】遮光,10-30℃保存。
【有效期】国家药品标准物质不设具体有效期,按照规定条件保存的样品,在中检院发布停用通知前有效。
声明:
1.请按本品说明书规定使用,若作他用,用户须自行证明适用性;
2.因用户使用或储存不当所引起的损害或投诉,用户自行承担相关责任;
3.用户收到本品后应立即核对品种、数量、包装等,若出现质量、数量等不符,相关赔偿只限于标准物质本身,不涉及其他任何损失。