国家药品标准物质使用说明书
乙醛合氨三聚体
Acetaldehyde Ammonia Trimer
【类别】药用辅料对照品
【批号】190276-202001
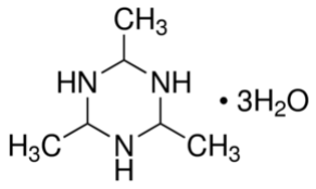
【结构式】

【分子式】C6H15N3·3H2O
【分子量】183.25
【CAS 号】58052-80-5
【用途】用于《中国药典》2020 版四部聚维酮 K30 品种项下醛检查
【特性量值】以 C6H15N3·3H2O 计,含量为 89.0%。
【使用方法】使用前不需干燥处理。
【包装】棕色西林瓶
【规格】0.2g/支
【贮藏】遮光,密闭,2-8℃保存。
【注意事项】建议打开包装一次性使用完。
【有效期】国家药品标准物质不设具体有效期,按照规定条件保存的样品,在中检院发布停用通知前有效。
声明:
1.请按本品说明书规定使用,若作他用,用户须自行证明适用性;
2.因用户使用或储存不当所引起的损害或投诉,用户自行承担相关责任;
3.用户收到本品后应立即核对品种、数量、包装等,若出现质量、数量等不符,相关赔偿只限于标准物质本身,不涉及其他任何损失。