国家药品标准物质使用说明书
组氨酸
Histidine
【类别】化学对照品
【批号】140855-202001
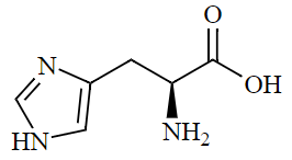
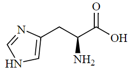
【结构式】

【分子式】C6H9N3O2
【分子量】155.16
【CAS 号】71-00-1
【用途】组氨酸对照品系供氨基酸鉴别、检查及含量测定使用。
【特性量值】以 C6H9N3O2计,含量为 99.9%。
【包装】棕色西林瓶
【规格】100mg/支
【贮藏】遮光,密封,10-30℃保存。
【有效期】国家药品标准物质不设具体有效期,按照规定条件保存的样品,在中检院发布停用通知前有效。
声明:
1.请按本品说明书规定使用,若作他用,用户须自行证明适用性;
2.因用户使用或储存不当所引起的损害或投诉,用户自行承担相关责任;
3.用户收到本品后应立即核对品种、数量、包装等,若出现质量、数量等不符,相关赔偿只限于标准物质本身,不涉及其他任何损失。