国家药品标准物质使用说明书
过氧苯甲酰
Benzoyl Peroxide
【类别】化学对照品
【批号】100137-201902
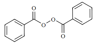
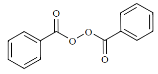
【结构式】

【分子式】C14H10O4
【分子量】242.23
【CAS 号】94-36-0
【用途】供 TLC 法鉴别用。本品仅供国家药品标准对应项下检验检测用。
【使用方法】使用前不需干燥处理。
【包装】棕色西林瓶
【规格】100mg/支
【贮藏】避光,密封,2-8℃保存。
【注意事项】本品贮藏时须保存一定水分,在 60℃以上或暴露在空气中快速失水后有爆炸或燃烧的风险。
【有效期】国家药品标准物质不设具体有效期,按照规定条件保存的样品,在中检院发布停用通知前有效。
声明:
1.请按本品说明书规定使用,若作他用,用户须自行证明适用性;
2.因用户使用或储存不当所引起的损害或投诉,用户自行承担相关责任;
3.用户收到本品后应立即核对品种、数量、包装等,若出现质量、数量等不符,相关赔偿只限于标准物质本身,不涉及其他任何损失。