国家药品标准物质使用说明书
十二甲基环六硅氧烷
Dodecamethylcyclohexasiloxane
【类别】药包材对照物质
【批号】195078-202001
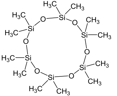
【结构式】

【分子式】C12H36O6Si6
【分子量】444.9
【CAS 号】540-97-6
【用途】供《化学药品与弹性体密封件相容性研究技术指导原则(试行)》十二甲基环六硅氧烷检查用。
【特性量值】以 C12H36O6Si6计,含量为 99.6%(GC)。
【使用方法】使用前不需干燥处理。
【包装】棕色安瓿
【规格】0.2ml/支
【贮藏】避光,10-30℃保存。
【有效期】国家药品标准物质不设具体有效期,按照规定条件保存的样品,在中检院发布停用通知前有效。
声明:
1.请按本品说明书规定使用,若作他用,用户须自行证明适用性;
2.因用户使用或储存不当所引起的损害或投诉,用户自行承担相关责任;
3.用户收到本品后应立即核对品种、数量、包装等,若出现质量、数量等不符,相关赔偿只限于标准物质本身,不涉及其他任何损失。