国家药品标准物质使用说明书
聚克立林钾
Polacrilin Potassium
【类别】药用辅料对照品
【批号】190212-201901
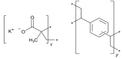
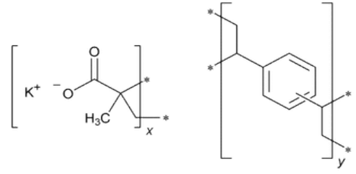
【结构式】

【分子式】(C4H6O2K)x(C10H10)y
【CAS 号】65405-55-2
【用途】供聚克立林钾品种红外鉴别用。
【使用方法】使用前在 105℃下干燥 6 小时。
【包装】棕色西林瓶
【规格】200mg/支
【贮藏】10-30℃保存。
【有效期】国家药品标准物质不设具体有效期,按照规定条件保存的样品,在中检院发布停用通知前有效。
声明:
1.请按本品说明书规定使用,若作他用,用户须自行证明适用性;
2.因用户使用或储存不当所引起的损害或投诉,用户自行承担相关责任;
3.用户收到本品后应立即核对品种、数量、包装等,若出现质量、数量等不符,相关赔偿只限于标准物质本身,不涉及其他任何损失。