国家药品标准物质使用说明书
无水乳糖
Lactose Anhydrous
【类别】药用辅料对照品
【批号】190273-202302
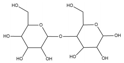
【结构式】

【分子式】C12H22O11
【分子量】342.3
【CAS 号】63-42-3
【用途】供《中国药典》2020 版四部无水乳糖含量测定用。
【特性量值】以 C12H22O11 计,本品含量为 98.9%。
【使用方法】使用前不需干燥处理。
【包装】棕色西林瓶
【规格】200mg/支
【贮藏】遮光,2-8℃保存。
【注意事项】建议开封后一次性使用完毕。
【有效期】国家药品标准物质不设具体有效期,按照规定条件保存的样品,在中检院发布停用通知前有效。
声明:
1.请按本品说明书规定使用,若作他用,用户须自行证明适用性;
2.因用户使用或储存不当所引起的损害或投诉,用户自行承担相关责任;
3.用户收到本品后应立即核对品种、数量、包装等,若出现质量、数量等不符,相关赔偿只限于标准物质本身,不涉及其他任何损失。