国家药品标准物质使用说明书
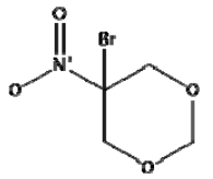
5-溴-5-硝基-1,3-二噁烷
5-Bromo-5-nitro-1,3-dioxane
【类别】标准样品
【批号】800122-202101
【结构式】

【分子式】C4H6BrNO4
【分子量】212.00
【CAS 号】30007-47-7
【用途】供化妆品检测含量测定使用。
【特性量值】含量以 5-溴-5-硝基-1,3-二噁烷 (C4H6BrNO4)计,为99.8%。
【使用方法】使用前不需干燥处理。
【包装】棕色西林瓶
【规格】250mg/支
【贮藏】10-30℃保存。
【有效期】国家药品标准物质不设具体有效期,按照规定条件保存的样品,在中检院发布停用通知前有效。
声明:
1.请按本品说明书规定使用,若作他用,用户须自行证明适用性;
2.因用户使用或储存不当所引起的损害或投诉,用户自行承担相关责任;
3.用户收到本品后应立即核对品种、数量、包装等,若出现质量、数量等不符,相关赔偿只限于标准物质本身,不涉及其他任何损失。