国家药品标准物质使用说明书
番茄红素
Lycopene
【类别】化学对照品
【批号】520028-202102
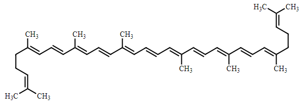
【结构式】

【分子式】C40H56
【分子量】536.88
【CAS 号】502-65-8
【用途】本品供 GB/T 22249-2008 保健食品中番茄红素 HPLC 法含量测定用。
【特性量值】以 C40H56计,本品含量为 93.9%。
【使用方法】使用前不需干燥处理。
【包装】棕色安瓿
【规格】30mg/支
【贮藏】遮光,-20℃保存。
【注意事项】本品溶液室温下不稳定,建议使用时参照 GB/T22249-2008 加入焦性没食子酸,并且溶液室温放置不宜超过 3 小时。
【有效期】国家药品标准物质不设具体有效期,按照规定条件保存的样品,在中检院发布停用通知前有效。
声明:
1.请按本品说明书规定使用,若作他用,用户须自行证明适用性;
2.因用户使用或储存不当所引起的损害或投诉,用户自行承担相关责任;
3.用户收到本品后应立即核对品种、数量、包装等,若出现质量、数量等不符,相关赔偿只限于标准物质本身,不涉及其他任何损失。