JSRM-国家标准物质销售平台www.bzwz.net.cn/shop
全国免费客服热线:400-885-6122
产品信息
编号:NIFDC-101531 英文:Benazepril Impurity B
名称:贝那普利杂质B 品牌:中检院
CAS:86541-77-7 分类:中国药典CP(中检院对照品)
包装 规格 库存 售价 数量
20mg 检查(避光,密闭,阴凉处) 0 0.0 加入购物车
详细描述:(样板仅参考,具体需参照对应批次证书)

国家药品标准物质使用说明书

贝那普利杂质 B

Benazepril Impurity B

【类别】化学对照品

【批号】101531-202201

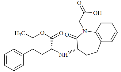
【结构式】

 HCl

【分子式】C24H28N2O5·HCl

【分子量】460.95

CAS 号】86541-77-7

【用途】供有关物质检查用。 本品仅供国家药品标准对应项下检验检测用。

【特性量值】按 C24H28N2O5·HCl 计,供 HPLC 法测定,含量为 97.4%

【使用方法】使用前不需干燥处理。

【包装】棕色西林瓶

【规格】20mg/支

【贮藏】避光,密闭,阴凉处保存。

【有效期】国家药品标准物质不设具体有效期,按照规定条件保存的样品,在中检院发布停用通知前有效。

声明:

1.请按本品说明书规定使用,若作他用,用户须自行证明适用性;

2.因用户使用或储存不当所引起的损害或投诉,用户自行承担相关责任;

3.用户收到本品后应立即核对品种、数量、包装等,若出现质量、数量等不符,相关赔偿只限于标准物质本身,不涉及其他任何损失。


©copyRight 2024 北京嘉世玉禾化工技术研究院 All Rights Reserved. 京ICP备15024501号-1