JSRM-国家标准物质销售平台www.bzwz.net.cn/shop
全国免费客服热线:400-885-6122
产品信息
编号:NIFDC-190055 英文:
名称:聚甲丙烯酸铵酯 II 品牌:中检院
CAS: 分类:中国药典CP(中检院对照品)
包装 规格 库存 售价 数量
200mg, IR鉴别 269.0 加入购物车
详细描述:(样板仅参考,具体需参照对应批次证书)

国家药品标准物质使用说明书

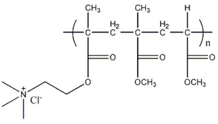
聚甲丙烯酸铵酯

Methacrylic Acid Copolymer

【类别】药用辅料对照品

【批号】190055-201001

【结构式】

【用途】本对照品为聚甲丙烯酸铵酯(Methacrylic Acid Copolymer II),供中国药典 2010 年版二部聚甲丙烯酸铵酯Ⅱ品种红外光谱鉴别用

【包装】棕色西林瓶

【规格】200mg/

【贮藏】遮光,密封,于阴凉处保存

【使用方法】使用前于 80℃减压干燥 5 小时

【有效期】国家药品标准物质不设具体有效期,按照规定条件保存的标准物质,在中检院发布停用通知前有效。
声明:
1.请按本品说明书规定使用,若作他用,用户须自行证明适用性;
2.因用户使用或储存不当所引起的损害或投诉,用户自行承担相关责任;
3.用户收到本品后应立即核对品种、数量、包装等,若出现质量、数量等不符,相关赔偿只限于标准物质本身,不涉及其他任何损失。



©copyRight 2024 北京嘉世玉禾化工技术研究院 All Rights Reserved. 京ICP备15024501号-1