JSRM-国家标准物质销售平台www.bzwz.net.cn/shop
全国免费客服热线:400-885-6122
产品信息
编号:NIFDC-190064 英文:
名称:磷脂酰胆碱对照品 品牌:中检院
CAS:93685-90-6 分类:中国药典CP(中检院对照品)
包装 规格 库存 售价 数量
50mg,检查 585.0 加入购物车
详细描述:(样板仅参考,具体需参照对应批次证书)


国家药品标准物质使用说明书



磷脂酰胆碱

Phosphatidylcholine

【类别】药用辅料对照品

【批号】190064-201902

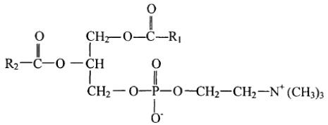
【结构式】

CAS 号】93685-90-6

【用途】供前列地尔注射液溶血磷脂酰胆碱检查项目系统适应性试验用对照品。

【包装】西林瓶

【规格】50mg/

【贮藏】遮光,密闭,于-20℃保存

【使用方法】使用前不需干燥处理

【注意事项】本品极具引湿性,打开包装后一次性使用完毕

【有效期】国家药品标准物质不设具体有效期,按照规定条件保存的标准物质,在中检院发布停用通知前有效。
声明:
1.请按本品说明书规定使用,若作他用,用户须自行证明适用性;
2.因用户使用或储存不当所引起的损害或投诉,用户自行承担相关责任;
3.用户收到本品后应立即核对品种、数量、包装等,若出现质量、数量等不符,相关赔偿只限于标准物质本身,不涉及其他任何损失。


©copyRight 2024 北京嘉世玉禾化工技术研究院 All Rights Reserved. 京ICP备15024501号-1