JSRM-国家标准物质销售平台www.bzwz.net.cn/shop
全国免费客服热线:400-885-6122
产品信息
编号:NIFDC-190073 英文:Trehalose
名称:海藻糖对照品 品牌:中检院
CAS:99-20-7 分类:中国药典CP(中检院对照品)
包装 规格 库存 售价 数量
200mg,其他,其他 314.0 加入购物车
详细描述:(样板仅参考,具体需参照对应批次证书)

国家药品标准物质使用说明书

海藻糖

Trehalose

【类别】药用辅料对照品

【批号】190073-201903

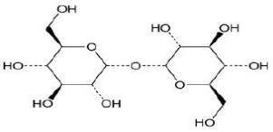
【结构式】

【分子式】C12H22O11

【分子量】342.30

CAS 号】99-20-7

【用途】本品仅供《中国药典》2015 年版四部海藻糖品种项下含量测定、红外吸收图谱鉴别用药用辅料对照品。

【特性量值】以 C12H22O11计,含量为 99.7%

【使用方法】使用前不需干燥处理。

【包装】棕色西林瓶

【规格】200mg/

【贮藏】避光,10-30℃保存。

【有效期】国家药品标准物质不设具体有效期,按照规定条件保存的标准物质,在中检院发布停用通知前有效。
声明:
1.请按本品说明书规定使用,若作他用,用户须自行证明适用性;
2.因用户使用或储存不当所引起的损害或投诉,用户自行承担相关责任;
3.用户收到本品后应立即核对品种、数量、包装等,若出现质量、数量等不符,相关赔偿只限于标准物质本身,不涉及其他任何损失。



©copyRight 2024 北京嘉世玉禾化工技术研究院 All Rights Reserved. 京ICP备15024501号-1