JSRM-国家标准物质销售平台www.bzwz.net.cn/shop
全国免费客服热线:400-885-6122
产品信息
编号:NIFDC-420050 英文:Capecitabine Related Compound C
名称:卡培他滨杂质 C 对照品 品牌:中检院
CAS:921769-65-5 分类:中国药典CP(中检院对照品)
包装 规格 库存 售价 数量
50mg, HPLC 系统适性 1100.0 加入购物车
详细描述:(样板仅参考,具体需参照对应批次证书)

国家药品标准物质使用说明书

卡培他滨杂质 C

Capecitabine Related Compound C

【类别】化学对照品

【批号】420050-201701

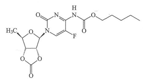
【结构式】

【分子式】C16H20FN3O7

【分子量】385.35

CAS 号】921769-65-5

【用途】卡培他滨杂质 CCapecitabine Related Compound C)对照品系供卡培他滨国家药品标准 YBH04272012、YBH04412012、YBH04072012 、 YBH04132013 和卡培他滨片国家药品标准YBH00462014、YBH04102013、YBH04142013 中含量测定项下 HPLC 法系统适用性检查用。

【使用方法】使用前不需干燥处理。

【包装】棕色西林瓶

【规格】50 mg/

【贮藏】遮光,密封,2-8℃保存。

【有效期】国家药品标准物质不设具体有效期,按照规定条件保存的标准物质,在中检院发布停用通知前有效。
声明:
1.请按本品说明书规定使用,若作他用,用户须自行证明适用性;
2.因用户使用或储存不当所引起的损害或投诉,用户自行承担相关责任;
3.用户收到本品后应立即核对品种、数量、包装等,若出现质量、数量等不符,相关赔偿只限于标准物质本身,不涉及其他任何损失。



©copyRight 2024 北京嘉世玉禾化工技术研究院 All Rights Reserved. 京ICP备15024501号-1