JSRM-国家标准物质销售平台www.bzwz.net.cn/shop
全国免费客服热线:400-885-6122
产品信息
编号:NIFDC-510003 英文:Allura red
名称:诱惑红对照品 品牌:中检院
CAS:25956-17-6 分类:中国药典CP(中检院对照品)
包装 规格 库存 售价 数量
50mg, HPLC 限度检查 293.0 加入购物车
详细描述:(样板仅参考,具体需参照对应批次证书)

化学对照品使用说明书

诱惑红

Allura red

【类别】化学对照品

【批号】510003-201401

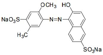
【结构式】

【分子式】C18H14N2Na2O8S2

【分子量】496.42

CAS 号】25956-17-6

【用途】本品供 HPLC 法检查用。

【特性量值】按 C18H14N2Na2O8S2计,本品含量为 86.9%

【包装】棕色西林瓶

【规格】50 mg/

【贮藏】常温、密闭、遮光

【使用方法】使用前不需干燥处理

【注意事项】本品极具引湿性,建议打开包装一次性使用完。

【有效期】国家药品标准物质不设具体有效期,按照规定条件保存的标准物质,在中检院发布停用通知前有效。
声明:
1.请按本品说明书规定使用,若作他用,用户须自行证明适用性;
2.因用户使用或储存不当所引起的损害或投诉,用户自行承担相关责任;
3.用户收到本品后应立即核对品种、数量、包装等,若出现质量、数量等不符,相关赔偿只限于标准物质本身,不涉及其他任何损失。



©copyRight 2024 北京嘉世玉禾化工技术研究院 All Rights Reserved. 京ICP备15024501号-1