JSRM-国家标准物质销售平台www.bzwz.net.cn/shop
全国免费客服热线:400-885-6122
产品信息
编号:NIFDC-171293 英文:
名称:酒石酸布托啡诺右旋异构体 品牌:中检院
CAS:58787-00-1 分类:中国药典CP(中检院对照品)
包装 规格 库存 售价 数量
20mg,系统适性考察 467.0 加入购物车
详细描述:(样板仅参考,具体需参照对应批次证书)

国家药品标准物质使用说明书

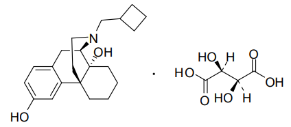
酒石酸布托啡诺右旋异构体

Butorphanol Tartrate

【类别】化学对照品

【批号】171293-201601

【结构式】

【分子式】C21H29NO2C4H6O6

【分子量】477.55

CAS 号】58787-00-1

【用途】本品供中国药典(二部)酒石酸布托啡诺和酒石酸布托啡诺注射液 HPLC 法右旋异构体检查中,作为系统适用性分离度考察用对照品。

【使用方法】本品使用前不需要干燥。

【包装】棕色西林瓶

【规格】20mg/

【贮藏】避光,密闭,10-30℃保存。

【有效期】国家药品标准物质不设具体有效期,按照规定条件保存的标准物质,在中检院发布停用通知前有效。
 声明:
1.请按本品说明书规定使用,若作他用,用户须自行证明适用性;
2.因用户使用或储存不当所引起的损害或投诉,用户自行承担相关责任;
3.用户收到本品后应立即核对品种、数量、包装等,若出现质量、数量等不符,相关赔偿只限于标准物质本身,不涉及其他任何损失。



©copyRight 2024 北京嘉世玉禾化工技术研究院 All Rights Reserved. 京ICP备15024501号-1