JSRM-国家标准物质销售平台www.bzwz.net.cn/shop
全国免费客服热线:400-885-6122
产品信息
编号:NIFDC-140691 英文:Aspartic acid
名称:门冬氨酸对照品(别名:L-2-氨基丁二酸、L-门冬氨酸、L-天门冬氨酸、L-氨基琥珀酸、L-天冬酸) 品牌:中检院
CAS:56-84-8 分类:中国药典CP(中检院对照品)
包装 规格 库存 售价 数量
100mg 供鉴别、检查及含量测定用(密封,10-30℃) 0 390.0 加入购物车
详细描述:(样板仅参考,具体需参照对应批次证书)
国家药品标准物质使用说明书

门冬氨酸

Aspartic acid

【类别】化学对照品

【批号】140691-202403

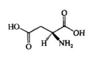
【结构式】

【分子式】C4H7NO4

【分子量】133.10

CAS 号】56-84-8

【用途】门冬氨酸对照品系供氨基酸鉴别、检查及含量测定用。

【特性量值】含量以 C4H7NO4计为 100.0%。

【使用方法】使用前不需干燥处理。

【包装】棕色西林瓶

【规格】100mg/支

【贮藏】密封,10-30℃保存。

【注意事项】该品种自本批次始,名称由“L-门冬氨酸”更改为“门冬氨酸”,化学名称不变,均为 L-2-氨基丁二酸

【有效期】国家药品标准物质不设具体有效期,按照规定条件保存的样品,在中检院发布停用通知前有效。

声明:

1.请按本品说明书规定使用,若作他用,用户须自行证明适用性;

2.因用户使用或储存不当所引起的损害或投诉,用户自行承担相关责任;

3.用户收到本品后应立即核对品种、数量、包装等,若出现质量、数量等不符,相关赔偿只限于标准物质本身,不涉及其他任何损失。



©copyRight 2024 北京嘉世玉禾化工技术研究院 All Rights Reserved. 京ICP备15024501号-1