JSRM-国家标准物质销售平台www.bzwz.net.cn/shop
全国免费客服热线:400-885-6122
产品信息
编号:NIFDC-140730 英文:Octreotide Acetate
名称:醋酸奥曲肽对照品 品牌:中检院
CAS:83150-76-9 分类:中国药典CP(中检院对照品)
包装 规格 库存 售价 数量
20mg 供HPLC法鉴别和含量测定用(遮光,密封,2-8℃) 0 1950.0 加入购物车
详细描述:(样板仅参考,具体需参照对应批次证书)

国家药品标准物质使用说明书

醋酸奥曲肽

Octreotide Acetate

【类别】化学对照品

【批号】140730-202306

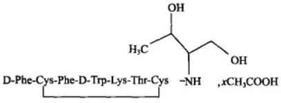
【结构式】

【分子式】C49H66N10O10S2·x C2H4O2

【分子量】1019.26·x60.02

CAS 号】83150-79-6

【用途】供 HPLC 法鉴别和含量测定用。

【特性量值】以 C49H66N10O10S2计,含量为 89.1%。

【使用方法】使用前不需干燥处理,临用前平衡至室温。

【包装】棕色安瓿

【规格】20mg/支

【贮藏】遮光,密封,2-8℃保存。

【注意事项】1.本品具有引湿性,建议开封后一次性使用。2.建议长期保存置于-20℃。

【有效期】国家药品标准物质不设具体有效期,按照规定条件保存的样品,在中检院发布停用通知前有效。

声明:

1.请按本品说明书规定使用,若作他用,用户须自行证明适用性;

2.因用户使用或储存不当所引起的损害或投诉,用户自行承担相关责任;

3.用户收到本品后应立即核对品种、数量、包装等,若出现质量、数量等不符,相关赔偿只限于标准物质本身,不涉及其他任何损失。



©copyRight 2024 北京嘉世玉禾化工技术研究院 All Rights Reserved. 京ICP备15024501号-1