JSRM-国家标准物质销售平台www.bzwz.net.cn/shop
全国免费客服热线:400-885-6122
产品信息
编号:NIFDC-140829 英文:monosialotetrahexosylganglioside sodium
名称:单唾液酸四己糖神经节苷脂钠对照品 品牌:中检院
CAS:37758-47-7 分类:中国药典CP(中检院对照品)
包装 规格 库存 售价 数量
25mg,单唾液酸四己糖神经节苷脂钠及其注射剂鉴别及含量测定 3000.0 加入购物车
详细描述:(样板仅参考,具体需参照对应批次证书)

国家药品标准物质使用说明书

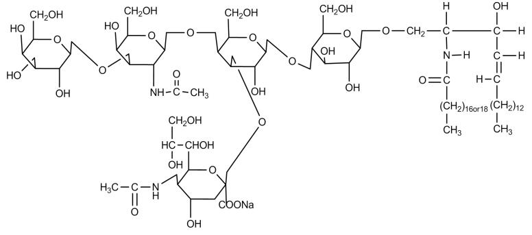
单唾液酸四己糖神经节苷脂钠

Monosialotetrahexosylganglioside Sodium

【类别】化学对照品

【批号】140829-201501

【结构式】

【分子式】C73H130N3NaO31 C75H134N3NaO31

【分子量】1568.84 1597.18

CAS 号】37758-47-7

【用途】供单唾液酸四己糖神经节苷脂钠及其注射剂鉴别及含量测定用。

【特性量值】以单唾液酸四己糖神经节苷脂钠计含量为 99.0%

【包装】棕色西林瓶

【规格】25mg/

【贮藏】28℃冷藏保存

【使用方法】无需干燥,直接称量使用。

【注意事项】本品具有引湿性,建议开包装后一次使用。

【有效期】国家药品标准物质不设具体有效期,按照规定条件保存的标准物质,在中检院发布停用通知前有效。
声明:
1.请按本品说明书规定使用,若作他用,用户须自行证明适用性;
2.因用户使用或储存不当所引起的损害或投诉,用户自行承担相关责任;
3.用户收到本品后应立即核对品种、数量、包装等,若出现质量、数量等不符,相关赔偿只限于标准物质本身,不涉及其他任何损失。



©copyRight 2024 北京嘉世玉禾化工技术研究院 All Rights Reserved. 京ICP备15024501号-1