JSRM-国家标准物质销售平台www.bzwz.net.cn/shop
全国免费客服热线:400-885-6122
产品信息
编号:NIFDC-140837 英文:Disialoganglioside GD3.disodium
名称:双唾液酸二己糖神经节苷脂钠对照品 品牌:中检院
CAS:62010-37-1 分类:中国药典CP(中检院对照品)
包装 规格 库存 售价 数量
5mg,含量测定系统适性试验 3000.0 加入购物车
详细描述:(样板仅参考,具体需参照对应批次证书)

国家药品标准物质使用说明书

双唾液酸二己糖神经节苷脂钠

Disialoganglioside GD3.disodium

【类别】化学对照品

【批号】140837-201501

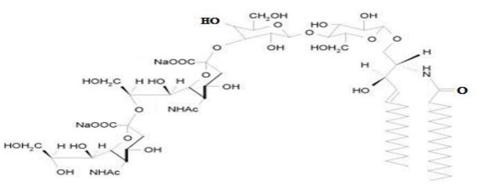
【结构式】

【分子式】C70H123N3O29·2Na

【分子量】1517.8

CAS 号】62010-37-1

【用途】供单唾液酸四己糖神经节苷脂钠及注射剂有关物质检查及含量测定系统适用性试验用。

【包装】棕色西林瓶

【规格】5mg/

【贮藏】28℃冷藏保存

【注意事项】本品具有引湿性,建议开包装后一次使用。

【有效期】国家药品标准物质不设具体有效期,按照规定条件保存的标准物质,在中检院发布停用通知前有效。
声明:
1.请按本品说明书规定使用,若作他用,用户须自行证明适用性;
2.因用户使用或储存不当所引起的损害或投诉,用户自行承担相关责任;
3.用户收到本品后应立即核对品种、数量、包装等,若出现质量、数量等不符,相关赔偿只限于标准物质本身,不涉及其他任何损失。



©copyRight 2024 北京嘉世玉禾化工技术研究院 All Rights Reserved. 京ICP备15024501号-1