JSRM-国家标准物质销售平台www.bzwz.net.cn/shop
全国免费客服热线:400-885-6122
产品信息
编号:NIFDC-130489 英文:Chlorteracycline Hydrochloride
名称:盐酸金霉素 品牌:中检院
CAS:64-72-2 分类:中国药典CP(中检院对照品)
包装 规格 库存 售价 数量
200mg, HPLC 含量测定 134.0 加入购物车
详细描述:(样板仅参考,具体需参照对应批次证书)

国家药品标准物质使用说明书

盐酸金霉素

Chlorteracycline Hydrochloride

【类别】化学对照品

【批号】130489-201403

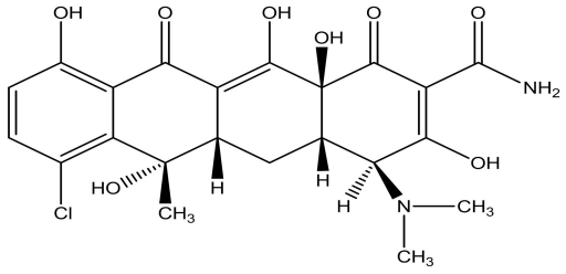
【结构式】

【分子式】C22H23ClN2O8·HCl

【分子量】515.35

【CAS 号】64-72-2

【用途】本对照品为盐酸金霉素。供高效液相含量测定用。

【特性量值】含量以盐酸金霉素(C22H23ClN2O8·HCl)计。

【包装】棕色安瓿

【规格】200mg/支

【贮藏】置 4℃以下条件低温避光保存。

【有效期】国家药品标准物质不设具体有效期,按照规定条件保存的样品,在中检院发布停用通知前有效。

声明:

1.请按本品说明书规定使用,若作他用,用户须自行证明适用性;

2.因用户使用或储存不当所引起的损害或投诉,用户自行承担相关责任;

3.用户收到本品后应立即核对品种、数量、包装等,若出现质量、数量等不符,相关赔偿只限于标准物质本身,不涉及其他任何损失。


©copyRight 2024 北京嘉世玉禾化工技术研究院 All Rights Reserved. 京ICP备15024501号-1