JSRM-国家标准物质销售平台www.bzwz.net.cn/shop
全国免费客服热线:400-885-6122
产品信息
编号:NIFDC-130516 英文:Dirithromycin
名称:地红霉素 品牌:中检院
CAS:62013-04-1 分类:中国药典CP(中检院对照品)
包装 规格 库存 售价 数量
100mg, HPLC 含量测定 320.0 加入购物车
详细描述:(样板仅参考,具体需参照对应批次证书)

国家药品标准物质使用说明书

地红霉素

Dirithromycin

【类别】化学对照品

【批号】130516-201302

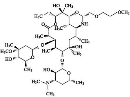
【结构式】

【分子式】C42H78N2O14

【分子量】835.09

【CAS 号】62013-04-1

【用途】本对照品为地红霉素。供高效液相含量测定用。

【特性量值】含量以 16R-地红霉素(C42H78N2O14)计。

【使用方法】精密称取适量,按质量标准规定的方法,配制至所需浓度的对照品溶液,立即使用。

【包装】安瓿

【规格】100mg/支

【贮藏】置 5℃以下条件低温避光保存。启开安瓿后严密保持干燥,

以防吸水。

【注意事项】使用前不需要干燥处理。

【有效期】国家药品标准物质不设具体有效期,按照规定条件保存的样品,在中检院发布停用通知前有效。

声明:

1.请按本品说明书规定使用,若作他用,用户须自行证明适用性;

2.因用户使用或储存不当所引起的损害或投诉,用户自行承担相关责任;

3.用户收到本品后应立即核对品种、数量、包装等,若出现质量、数量等不符,相关赔偿只限于标准物质本身,不涉及其他任何损失。


©copyRight 2024 北京嘉世玉禾化工技术研究院 All Rights Reserved. 京ICP备15024501号-1