JSRM-国家标准物质销售平台www.bzwz.net.cn/shop
全国免费客服热线:400-885-6122
产品信息
编号:NIFDC-130545 英文:Cefpirome
名称:头孢匹罗对照品 品牌:中检院
CAS:98753-19-6 分类:中国药典CP(中检院对照品)
包装 规格 库存 售价 数量
50mg,含量/限量测定 320.0 加入购物车
详细描述:(样板仅参考,具体需参照对应批次证书)

国家药品标准物质使用说明书

头孢匹罗

Cefpirome

【类别】化学对照品

【批号】130545-201701

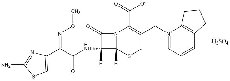
【结构式】

【分子式】C22H22N6O5S2·H2SO4

【分子量】612.66

CAS 号】98753-19-6

【用途】供硫酸头孢匹罗品种 HPLC 法含量测定用。

【特性量值】按头孢匹罗 C22H22N6O5S2计,含量为 83.0%

【使用方法】使用前不需干燥处理。

【包装】白色安瓿

【规格】50mg/

【贮藏】2-10℃保存。

【注意事项】本品建议打开包装一次性使用完毕。

【有效期】国家药品标准物质不设具体有效期,按照规定条件保存的标准物质,在中检院发布停用通知前有效。
声明:
1.请按本品说明书规定使用,若作他用,用户须自行证明适用性;
2.因用户使用或储存不当所引起的损害或投诉,用户自行承担相关责任;
3.用户收到本品后应立即核对品种、数量、包装等,若出现质量、数量等不符,相关赔偿只限于标准物质本身,不涉及其他任何损失。



©copyRight 2024 北京嘉世玉禾化工技术研究院 All Rights Reserved. 京ICP备15024501号-1