JSRM-国家标准物质销售平台www.bzwz.net.cn/shop
全国免费客服热线:400-885-6122
产品信息
编号:NIFDC-130553 英文:Amikacin Impurity A
名称:阿米卡星杂质A对照品(阿米卡星杂质K29) 品牌:中检院
CAS: 分类:中国药典CP(中检院对照品)
包装 规格 库存 售价 数量
50mg, HPLC 系统适性 214.0 加入购物车
详细描述:(样板仅参考,具体需参照对应批次证书)

国家药品标准物质使用说明书

阿米卡星杂质 A

Amikacin Impurity A

【类别】化学对照品

【批号】130553-201402

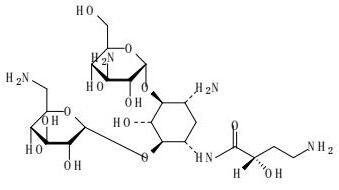
【结构式】

【分子式】C22H43N5O13

【分子量】585

【用途】本品为阿米卡星杂质 A,供阿米卡星及硫酸阿米卡星品种HPLC 系统适用性用。

【包装】直管瓶

【规格】50mg/

【贮藏】置 4℃以下条件避光保存。

【有效期】国家药品标准物质不设具体有效期,按照规定条件保存的标准物质,在中检院发布停用通知前有效。
声明:
1.请按本品说明书规定使用,若作他用,用户须自行证明适用性;
2.因用户使用或储存不当所引起的损害或投诉,用户自行承担相关责任;
3.用户收到本品后应立即核对品种、数量、包装等,若出现质量、数量等不符,相关赔偿只限于标准物质本身,不涉及其他任何损失。



©copyRight 2024 北京嘉世玉禾化工技术研究院 All Rights Reserved. 京ICP备15024501号-1