JSRM-国家标准物质销售平台www.bzwz.net.cn/shop
全国免费客服热线:400-885-6122
产品信息
编号:NIFDC-130555 英文:Chloramphenicol
名称:氯霉素对照品 品牌:中检院
CAS:56-75-7 分类:中国药典CP(中检院对照品)
包装 规格 库存 售价 数量
100mg,含量/限量测定 200.0 加入购物车
详细描述:(样板仅参考,具体需参照对应批次证书)
国家药品标准物质使用说明书

氯霉素

Chloramphenicol

【类别】 化学对照品

【批号】 130555-201704

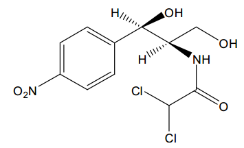
【结构式】

【分子式】 C11H12Cl2N2O5

【分子量】 323.13

【CAS 号】 56-75-7

【用途】 供有关物质及含量测定用。

【特性量值】 以 C11H12Cl2N2O5计, 含量为 99.8%。

【使用方法】 使用前不需干燥处理。

【包装】 棕色安瓿

【规格】 100mg/支

【贮藏】 2-8℃保存。

【有效期】 国家药品标准物质不设具体有效期, 按照规定条件保存的标准物质, 在中检院发布停用通知前有效。

声明:

1.请按本品说明书规定使用, 若作他用, 用户须自行证明适用性;

2.因用户使用或储存不当所引起的损害或投诉,用户自行承担相关责任;

3.用户收到本品后应立即核对品种、 数量、 包装等, 若出现质量、 数量等不符, 相关赔偿只限于标准物质本身, 不涉及其他任何损失。


©copyRight 2024 北京嘉世玉禾化工技术研究院 All Rights Reserved. 京ICP备15024501号-1