国家药品标准物质使用说明书
6-氨基青霉烷酸
6-aminopenicilanic acid
【类别】化学对照品
【批号】130595-201001
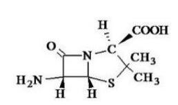
【结构式】

【分子式】C8H12N2O3S
【分子量】216.26
【CAS 号】551-16-6
【用途】本对照品为 6-氨基青霉烷酸,供舒巴坦钠品种 HPLC 系统适用性试验用。
【使用方法】精密称取本品适量,按相关质量标准的规定,溶解并稀释至所需浓度的溶液,立即使用。
【包装】安瓿
【规格】100mg/支
【贮藏】置 5℃以下低温避光保存。开启安瓿后严密保持干燥,以防吸水。
【注意事项】使用前不需干燥处理。
【有效期】国家药品标准物质不设具体有效期,按照规定条件保存的标准物质,在中检院发布停用通知前有效。
声明:
1.请按本品说明书规定使用,若作他用,用户须自行证明适用性;
2.因用户使用或储存不当所引起的损害或投诉,用户自行承担相关责任;
3.用户收到本品后应立即核对品种、数量、包装等,若出现质量、数量等不符,相关赔偿只限于标准物质本身,不涉及其他任何损失。