JSRM-国家标准物质销售平台www.bzwz.net.cn/shop
全国免费客服热线:400-885-6122
产品信息
编号:NIFDC-130612 英文:Cefazoline Impurity A
名称:头孢唑林杂质A对照品 品牌:中检院
CAS:30246-33-4 分类:中国药典CP(中检院对照品)
包装 规格 库存 售价 数量
100mg 系统适性试验(4℃,避光) 410.0 加入购物车
详细描述:(样板仅参考,具体需参照对应批次证书)


国家药品标准物质使用说明书



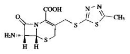
头孢唑啉杂质 A

Cefazoline Impurity A

【类别】化学对照品

【批号】130612-201102

【结构式】

【分子式】C11H12N4O3S3

【分子量】344.44

CAS 号】30246-33-4

【用途】本对照品为头孢唑林杂质 A,供头孢唑林钠品种系统适用性试验用。

【使用方法】精密称取本品适量,按相关质量标准的规定,溶解并稀释至所需浓度的溶液,立即使用。

【包装】安瓿

【规格】100mg/支

【贮藏】置 5℃以下低温避光保存。开启安瓿后严密保持干燥,以防吸水。

【注意事项】使用前不需干燥处理。

【有效期】国家药品标准物质不设具体有效期,按照规定条件保存的样品,在中检院发布停用通知前有效。

声明:

1.请按本品说明书规定使用,若作他用,用户须自行证明适用性;

2.因用户使用或储存不当所引起的损害或投诉,用户自行承担相关责任;

3.用户收到本品后应立即核对品种、数量、包装等,若出现质量、数量等不符,相关赔偿只限于标准物质本身,不涉及其他任何损失。

【有效期】国家药品标准物质不设具体有效期,按照规定条件保存的标准物质,在中检院发布停用通知前有效。
声明:
1.请按本品说明书规定使用,若作他用,用户须自行证明适用性;
2.因用户使用或储存不当所引起的损害或投诉,用户自行承担相关责任;
3.用户收到本品后应立即核对品种、数量、包装等,若出现质量、数量等不符,相关赔偿只限于标准物质本身,不涉及其他任何损失。


©copyRight 2024 北京嘉世玉禾化工技术研究院 All Rights Reserved. 京ICP备15024501号-1