JSRM-国家标准物质销售平台www.bzwz.net.cn/shop
全国免费客服热线:400-885-6122
产品信息
编号:NIFDC-130614 英文:Ofloxacin/Levofloxacin Impurity A
名称:左氧氟沙星杂质A对照品 品牌:中检院
CAS:117707-40-1 分类:中国药典CP(中检院对照品)
包装 规格 库存 售价 数量
50mg,HPLC 系统适性试验和有关物质检查 528.0 加入购物车
详细描述:(样板仅参考,具体需参照对应批次证书)

国家药品标准物质使用说明书

(左)氧氟沙星杂质 A

Ofloxacin/Levofloxacin Impurity A

【类别】化学对照品

【批号】130614-201703

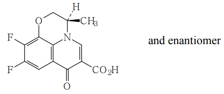
【结构式】

 

【分子式】C13H9F2NO4

【分子量】281.4

【用途】(左)氧氟沙星杂质 AOfloxacin/Levofloxacin Impurity A)对照品供氧氟沙星、左氧氟沙星及各种成盐形式的左氧氟沙星品种项下 HPLC 系统适用性试验和有关物质检查用。

【特性量值】含量以 99.6%

【使用方法】使用前不需干燥处理

【包装】棕色安瓿

【规格】50mg/

【贮藏】2-8℃保存

【有效期】国家药品标准物质不设具体有效期,按照规定条件保存的标准物质,在中检院发布停用通知前有效。
声明:
1.请按本品说明书规定使用,若作他用,用户须自行证明适用性;
2.因用户使用或储存不当所引起的损害或投诉,用户自行承担相关责任;
3.用户收到本品后应立即核对品种、数量、包装等,若出现质量、数量等不符,相关赔偿只限于标准物质本身,不涉及其他任何损失。


©copyRight 2024 北京嘉世玉禾化工技术研究院 All Rights Reserved. 京ICP备15024501号-1