JSRM-国家标准物质销售平台www.bzwz.net.cn/shop
全国免费客服热线:400-885-6122
产品信息
编号:NIFDC-130617 英文:1-methyl-1H-tetrazole-5-thiol
名称:1-甲基-5-巯基四氮唑对照品(头孢哌酮杂质C对照品) 品牌:中检院
CAS:13183-79-4 分类:中国药典CP(中检院对照品)
包装 规格 库存 售价 数量
100mg,HPLC 法有关物质测定 585.0 加入购物车
详细描述:(样板仅参考,具体需参照对应批次证书)

国家药品标准物质使用说明书

1-甲基-5-巯基四氮唑

1-methyl-1H-tetrazole-5-thiol

【类别】化学对照品

【批号】130617-201702

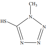
【结构式】

 

【分子式】C2H4N4S

【分子量】116.02

CAS 号】13183-79-4

【用途】本品供 HPLC 法有关物质测定用。

【特性量值】以 C2H4N4S 计,含量为 97.2%

【使用方法】使用前不需干燥处理。

【包装】白色安瓿

【规格】100mg/

【贮藏】2-8℃保存

【有效期】国家药品标准物质不设具体有效期,按照规定条件保存的标准物质,在中检院发布停用通知前有效。
声明:
1.请按本品说明书规定使用,若作他用,用户须自行证明适用性;
2.因用户使用或储存不当所引起的损害或投诉,用户自行承担相关责任;
3.用户收到本品后应立即核对品种、数量、包装等,若出现质量、数量等不符,相关赔偿只限于标准物质本身,不涉及其他任何损失。


©copyRight 2024 北京嘉世玉禾化工技术研究院 All Rights Reserved. 京ICP备15024501号-1