国家药品标准物质使用说明书
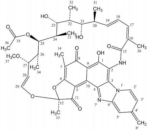
利福昔明杂质 A
Rifaximin impurity A
【类别】化学对照品
【批号】130620-201401
【结构式】

【分子式】C43H49N3O11
【分子量】783.86
【用途】仅供利福昔明品种系统适用性试验用。
【包装】安瓿
【规格】100mg/支
【贮藏】置 4℃以下条件低温避光保存。
【有效期】国家药品标准物质不设具体有效期,按照规定条件保存的标准物质,在中检院发布停用通知前有效。
声明:
1.请按本品说明书规定使用,若作他用,用户须自行证明适用性;
2.因用户使用或储存不当所引起的损害或投诉,用户自行承担相关责任;
3.用户收到本品后应立即核对品种、数量、包装等,若出现质量、数量等不符,相关赔偿只限于标准物质本身,不涉及其他任何损失。