JSRM-国家标准物质销售平台www.bzwz.net.cn/shop
全国免费客服热线:400-885-6122
产品信息
编号:NIFDC-#130639 英文:Faropenem S Isomer
名称:法罗培南S异构体(非对映异构体) 品牌:中检院
CAS: 分类:中国药典CP(中检院对照品)
包装 规格 库存 售价 数量
20mg 供系统适用性试验用(2-8℃) 0 345.0 加入购物车
详细描述:(样板仅参考,具体需参照对应批次证书)

国家药品标准物质使用说明书

法罗培南钠杂质Ⅰ(法罗培南 S 异构体) 

 Faropenem Sodium Impurity I (Faropenem S Isomer) 

 【类别】化学对照品 

 【批号】130639-202303


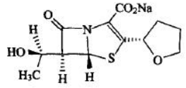
【结构式】


【分子式】C12H15NO5S

【分子量】285.32

【用途】供中国药典 2020 年版二部法罗培南钠含量测定及有关物质检查系统适用性试验用对照品。

【使用方法】使用前不需干燥处理。

【包装】棕色直管

【规格】20mg/支

【贮藏】2-8℃保存。

【注意事项】本品建议打开包装一次性使用完毕。

【有效期】国家药品标准物质不设具体有效期,按照规定条件保存的样品,在中检院发布停用通知前有效。

声明:

1.请按本品说明书规定使用,若作他用,用户须自行证明适用性;

2.因用户使用或储存不当所引起的损害或投诉,用户自行承担相关责任;

3.用户收到本品后应立即核对品种、数量、包装等,若出现质量、数量等不符,相关赔偿只限于标准物质本身,不涉及其他任何损失。


©copyRight 2024 北京嘉世玉禾化工技术研究院 All Rights Reserved. 京ICP备15024501号-1