国家药品标准物质使用说明书
阿柔比星
Aclarubicin
【类别】化学对照品
【批号】130665-201401
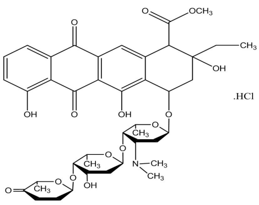
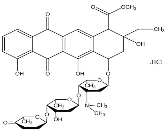
【结构式】

【分子式】C42H53NO15 HCl
【分子量】847.3
【CAS 号】57576-44-0
【用途】本对照品为盐酸阿柔比星。供注射用盐酸阿柔比星 HPLC 含量测定用。
【特性量值】以阿柔比星(C42H53NO15)计,每支含阿柔比星为 19.10mg。
【包装】西林瓶
【规格】20mg/支
【贮藏】2-8℃保存
【使用方法】使用前不需干燥处理。使用时需要整瓶稀释。
【有效期】国家药品标准物质不设具体有效期,按照规定条件保存的标准物质,在中检院发布停用通知前有效。
声明:
1.请按本品说明书规定使用,若作他用,用户须自行证明适用性;
2.因用户使用或储存不当所引起的损害或投诉,用户自行承担相关责任;
3.用户收到本品后应立即核对品种、数量、包装等,若出现质量、数量等不符,相关赔偿只限于标准物质本身,不涉及其他任何损失。