国家药品标准物质使用说明书
放线菌素 D 系统适用性对照品
Dactinomycin for system suitability
【类别】化学对照品
【批号】130671-201601
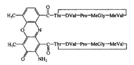
【结构式】

【分子式】C62H86N12O16
【分子量】1255.44
【用途】仅供中国药典 2015 年版放线菌素 D 品种有关物质检查项下系统适用性实验用。
标准图谱
Welch XB-C18 色谱柱(250×4.6 mm,5μm)
【包装】白色西林瓶
【规格】0.2mg/支
【贮藏】常温遮光保存。
【使用方法】使用前不需干燥处理。
【有效期】国家药品标准物质不设具体有效期,按照规定条件保存的标准物质,在中检院发布停用通知前有效。
声明:
1.请按本品说明书规定使用,若作他用,用户须自行证明适用性;
2.因用户使用或储存不当所引起的损害或投诉,用户自行承担相关责任;
3.用户收到本品后应立即核对品种、数量、包装等,若出现质量、数量等不符,相关赔偿只限于标准物质本身,不涉及其他任何损失。