JSRM-国家标准物质销售平台www.bzwz.net.cn/shop
全国免费客服热线:400-885-6122
产品信息
编号:NIFDC-130691 英文:Itraconazole impurity F
名称:伊曲康唑杂质F对照品 品牌:中检院
CAS:89848-51-1 分类:中国药典CP(中检院对照品)
包装 规格 库存 售价 数量
30mg,检查 405.0 加入购物车
详细描述:(样板仅参考,具体需参照对应批次证书)

国家药品标准物质使用说明书

伊曲康唑杂质F

Itraconazole impurity

【类别】化学对照品

【批号】130691-201501

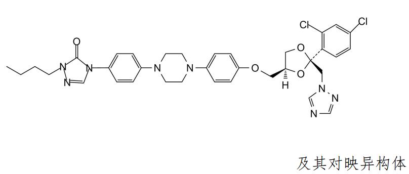
【结构式】

【分子式】C35H38Cl2N8O4

【分子量】704.2

CAS 号】89848-51-1

【用途】本对照品为伊曲康唑杂质 F。供伊曲康唑原料及其制剂 HPLC法有关物质检查用。

【特性量值】以伊曲康唑杂质 FC35H38Cl2N8O4)计,含量为 98.0%

【包装】棕色安瓿

【规格】30mg/

【贮藏】常温遮光保存

【使用方法】使用前不需干燥处理。

【有效期】国家药品标准物质不设具体有效期,按照规定条件保存的标准物质,在中检院发布停用通知前有效。
声明:
1.请按本品说明书规定使用,若作他用,用户须自行证明适用性;
2.因用户使用或储存不当所引起的损害或投诉,用户自行承担相关责任;
3.用户收到本品后应立即核对品种、数量、包装等,若出现质量、数量等不符,相关赔偿只限于标准物质本身,不涉及其他任何损失。



©copyRight 2024 北京嘉世玉禾化工技术研究院 All Rights Reserved. 京ICP备15024501号-1