JSRM-国家标准物质销售平台www.bzwz.net.cn/shop
全国免费客服热线:400-885-6122
产品信息
编号:NIFDC-130752 英文:8-Hydroxy Gatifloxacin,1-Cyclopropyl-6-fluoro-1,4-dihydro-8-hydroxy-7-(3-methyl-1-piperazinyl)-4-oxo-3-quinolinecarboxylic acid
名称:8-羟基加替沙星 品牌:中检院
CAS:616205-76-6 分类:中国药典CP(中检院对照品)
包装 规格 库存 售价 数量
50mg,供HPLC法系统适用性试验用 420.0 加入购物车
详细描述:(样板仅参考,具体需参照对应批次证书)

国家药品标准物质使用说明书

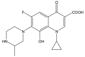
8-羟基加替沙星

8-Hydroxy Gatifloxacin

1-Cyclopropyl-6-fluoro-1,4-dihydro-8-hydroxy-7-(3-methyl-1-piperazinyl)-4-oxo-3-quinolinecarboxylic acid

【类别】化学对照品

【批号】130752-201801

【结构式】

 

【分子式】C18H20FN3O4

【分子量】361.1

CAS 号】616205-76-6

【用途】仅供 HPLC 法系统适用性试验用。

【使用方法】使用前不需干燥处理。

【包装】棕色安瓿

【规格】50mg/

【贮藏】2-10℃保存。

【有效期】国家药品标准物质不设具体有效期,按照规定条件保存的标准物质,在中检院发布停用通知前有效。
声明:
1.请按本品说明书规定使用,若作他用,用户须自行证明适用性;
2.因用户使用或储存不当所引起的损害或投诉,用户自行承担相关责任;
3.用户收到本品后应立即核对品种、数量、包装等,若出现质量、数量等不符,相关赔偿只限于标准物质本身,不涉及其他任何损失。



©copyRight 2024 北京嘉世玉禾化工技术研究院 All Rights Reserved. 京ICP备15024501号-1