JSRM-国家标准物质销售平台www.bzwz.net.cn/shop
全国免费客服热线:400-885-6122
产品信息
编号:NIFDC-130309 英文:Neomycin
名称:新霉素 品牌:中检院
CAS:1405-10-3 分类:中国药典CP(中检院对照品)
包装 规格 库存 售价 数量
200mg 效价测定(2-8℃) 213.0 加入购物车
详细描述:(样板仅参考,具体需参照对应批次证书)
国家药品标准物质使用说明书
新霉素
Neomycin
【类别】标准品
【批号】130309-202213

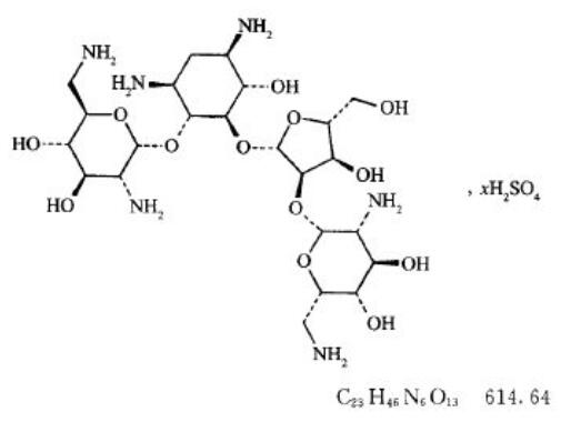
【结构式】

【分子式】C23H46N6O13

【分子量】614.64

CAS 号】1405-10-3

【用途】供中国药典 2020 年版硫酸新霉素品种效价测定用。

【特性量值】每 1mg 的效价相当于 691 新霉素单位。

【使用方法】使用前不需干燥处理。

【包装】棕色直管

【规格】200mg/支

【贮藏】2-8℃保存。

【注意事项】本品建议打开包装一次性使用完毕。

【有效期】国家药品标准物质不设具体有效期,按照规定条件保存的标准物质,在中检院发布停用通知前有效。 

声明: 

1.请按本品说明书规定使用,若作他用,用户须自行证明适用性; 

2.因用户使用或储存不当所引起的损害或投诉,用户自行承担相关责任; 

3.用户收到本品后应立即核对品种、数量、包装等,若出现质量、数 量等不符,相关赔偿只限于标准物质本身,不涉及其他任何损失。


©copyRight 2024 北京嘉世玉禾化工技术研究院 All Rights Reserved. 京ICP备15024501号-1