JSRM-国家标准物质销售平台www.bzwz.net.cn/shop
全国免费客服热线:400-885-6122
产品信息
编号:NIFDC-130338 英文:Norvancomycin
名称:去甲万古霉素 品牌:中检院
CAS: 分类:中国药典CP(中检院对照品)
包装 规格 库存 售价 数量
150mg,含量/限量测定 160.0 加入购物车
详细描述:(样板仅参考,具体需参照对应批次证书)
国家药品标准物质使用说明书

去甲万古霉素 

Norvancomycin 

【类别】标准品 

【批号】130338-201704 

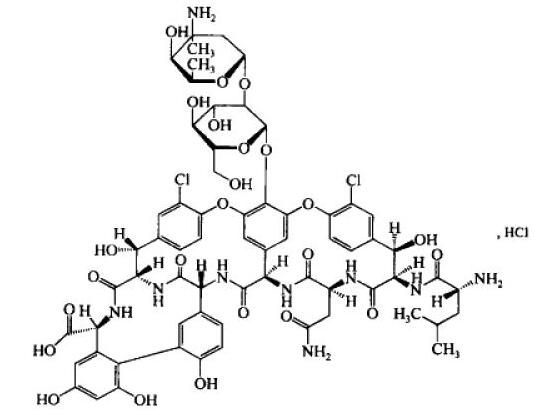
【结构式】 

【分子式】C65H73Cl2N9O24·HCl
【分子量】1471.71
【用途】供盐酸去甲万古霉素品种HPLC 法含量测定用。
【特性量值】以C65H73Cl2N9O24 计,含量为87.7%。
【使用方法】使用前不需干燥处理。
【包装】白色安瓿
【规格】150mg/支
【贮藏】2-8℃遮光保存。
【注意事项】本品建议打开包装一次性使用完毕。
【有效期】国家药品标准物质不设具体有效期,按照规定条件保存的标准物质,在中检院发布停用通知前有效。

声明:
1.请按本品说明书规定使用,若作他用,用户须自行证明适用性;
2.因用户使用或储存不当所引起的损害或投诉,用户自行承担相关责任;
3.用户收到本品后应立即核对品种、数量、包装等,若出现质量、数量等不符,相关赔偿只限于标准物质本身,不涉及其他任何损失。


©copyRight 2024 北京嘉世玉禾化工技术研究院 All Rights Reserved. 京ICP备15024501号-1