国家药品标准物质使用说明书
克拉霉素
Clarithromycin
【类别】标准品
【批号】130356-201204
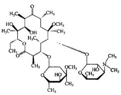
【结构式】

【分子式】C38H69NO13
【分子量】747.96
【CAS 号】81103-11-9
【用途】供效价测定用。
【使用方法】本品效价为湿品效价,使用前不需干燥处理;效价以克 拉霉素单位(C38H69NO13)计。使用时精密称取适量,按中国药典方法 进行测定。500u/ml 的克拉霉素溶液在 4℃以下条件保存可使用 7 日。
【包装】安瓿
【规格】100mg/支
【贮藏】置 4℃以下低温避光保存。
【有效期】国家药品标准物质不设具体有效期,按照规定条件保存的标准物质,在中检院发布停用通知前有效。
声明:
1.请按本品说明书规定使用,若作他用,用户须自行证明适用性;
2.因用户使用或储存不当所引起的损害或投诉,用户自行承担相关责任;
3.用户收到本品后应立即核对品种、数量、包装等,若出现质量、数 量等不符,相关赔偿只限于标准物质本身,不涉及其他任何损失。