JSRM-国家标准物质销售平台www.bzwz.net.cn/shop
全国免费客服热线:400-885-6122
产品信息
编号:NIFDC-130422 英文:Clindamycin
名称:克林霉素 品牌:中检院
CAS:21462-39-5 分类:中国药典CP(中检院对照品)
包装 规格 库存 售价 数量
100mg 87.5%,含量/限量测定(2-8℃) 213.0 加入购物车
详细描述:(样板仅参考,具体需参照对应批次证书)

国家药品标准物质使用说明书

克林霉素

Clindamycin

【类别】化学对照品

【批号】130422-202108

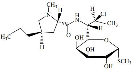
【结构式】

      •HCl

【分子式】C18H33ClN2O5S •HCl

【分子量】461.44

CAS 号】21462-39-5

【用途】本对照品为克林霉素,供盐酸克林霉素及制剂品种 HPLC 含量测定用化学对照品。

【特性量值】按 C18H33ClN2O5S 计,含量为 87.5%。

【使用方法】使用前不需干燥处理。

【包装】棕色安瓿

【规格】100mg/支

【贮藏】2-8℃保存。

【注意事项】本品建议打开包装一次性使用完毕。

【有效期】国家药品标准物质不设具体有效期,按照规定条件保存的样品,在中检院发布停用通知前有效。

声明:

1.请按本品说明书规定使用,若作他用,用户须自行证明适用性;

2.因用户使用或储存不当所引起的损害或投诉,用户自行承担相关责任;

3.用户收到本品后应立即核对品种、数量、包装等,若出现质量、数量等不符,相关赔偿只限于标准物质本身,不涉及其他任何损失。



©copyRight 2024 北京嘉世玉禾化工技术研究院 All Rights Reserved. 京ICP备15024501号-1