JSRM-国家标准物质销售平台www.bzwz.net.cn/shop
全国免费客服热线:400-885-6122
产品信息
编号:#NIFDC-130485 英文:Doxycycline
名称:多西环素对照品(盐酸强力霉素、多西环素盐酸盐) 品牌:中检院
CAS:24390-14-5 分类:中国药典CP(中检院对照品)
包装 规格 库存 售价 数量
100mg 含量测定(2-8℃) 0 240.0 加入购物车
详细描述:(样板仅参考,具体需参照对应批次证书)
国家药品标准物质使用说明书

多西环素 

Doxycycline 

【类别】化学对照品 

【批号】130485-202405

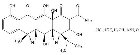
【结构式】


【分子式】C22H24N2O8•HCl•1/2C2H5OH•1/2H2O

【分子量】512.93

CAS 号】24390-14-5

【用途】供含量测定用,本品仅供国家药品标准等对应项下检测检验用。

【特性量值】按 C22H24N2O8计,含量为 84.3%。

【使用方法】使用前不需干燥处理。

【包装】棕色直管

【规格】100mg/支

【贮藏】2-8℃保存。

【注意事项】本品建议打开包装一次性使用完毕。

【有效期】国家药品标准物质不设具体有效期,按照规定条件保存的样品,在中检院发布停用通知前有效。

声明:

1.请按本品说明书规定使用,若作他用,用户须自行证明适用性;

2.因用户使用或储存不当所引起的损害或投诉,用户自行承担相关责任;

3.用户收到本品后应立即核对品种、数量、包装等,若出现质量、数量等不符,相关赔偿只限于标准物质本身,不涉及其他任何损失。


©copyRight 2024 北京嘉世玉禾化工技术研究院 All Rights Reserved. 京ICP备15024501号-1