JSRM-国家标准物质销售平台www.bzwz.net.cn/shop
全国免费客服热线:400-885-6122
产品信息
编号:NIFDC-111523 英文:5-O-Methylvisammioside
名称:5-O-甲基维斯阿米醇苷对照品 品牌:中检院
CAS:84272-85-5 分类:中国药典CP(中检院对照品)
包装 规格 库存 售价 数量
ZJY-20mg 含量测定(2-8℃) 0 1188.0 加入购物车
详细描述:(样板仅参考,具体需参照对应批次证书)
国家药品标准物质使用说明书

5-O-甲基维斯阿米醇苷 

5-O-Methylvisammioside 

【类别】化学对照品 

【批号】111523-202513

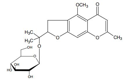
【结构式】 


【分子式】C22H28O10

【分子量】452.45

CAS 号】84272-85-5

【用途】5-O-甲基维斯阿米醇苷(5-O-Methylvisammioside)对照品系供《中国药典》 2025 年版一部防风、五虎散等项下鉴别和含量测定用。

【特性量值】含量以 98.4%计。

【使用方法】使用前不需干燥处理。

【包装】棕色安瓿

【规格】20mg/支

【贮藏】2-8℃保存。

【注意事项】本品极具引湿性,打开包装后立即使用。

【有效期】国家药品标准物质不设具体有效期,按照规定条件保存的样品,在中检院发布停用通知前有效。

声明:

1.请按本品说明书规定使用,若作他用,用户须自行证明适用性;

2.因用户使用或储存不当所引起的损害或投诉,用户自行承担相关责任;

3.用户收到本品后应立即核对品种、数量、包装等,若出现质量、数量等不符,相关赔偿只限于标准物质本身,不涉及其他任何损失。



©copyRight 2024 北京嘉世玉禾化工技术研究院 All Rights Reserved. 京ICP备15024501号-1