国家药品标准物质使用说明书
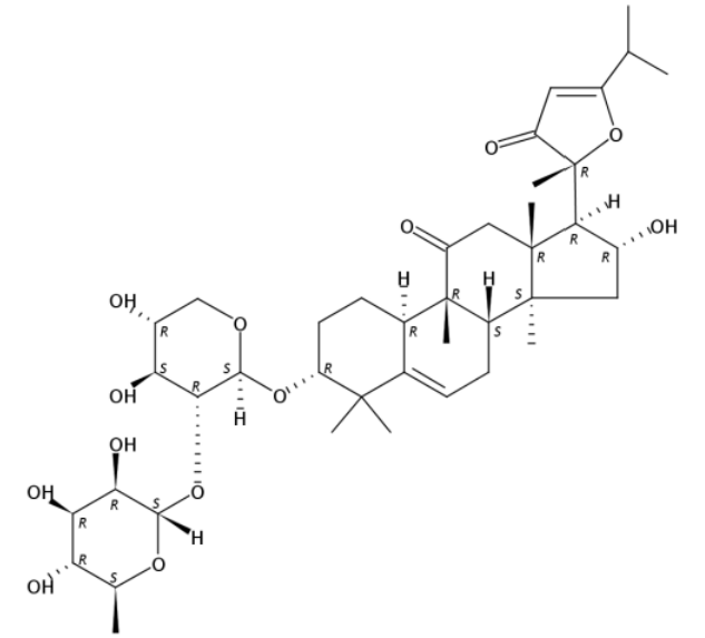
苦玄参苷 IA
Picfeltarraenin IA
【类别】化学对照品
【批号】111745-200501
【结构式】

【分子式】C41H62O13
【分子量】762.9
【用途】苦玄参苷 IA(Picfeltarraenin IA)对照品系非药典品种,可供含量测定用。
【使用方法】置五氧化二磷减压干燥器中干燥 12 小时以上使用。
【包装】棕色瓶
【贮藏】干燥密闭保存。
【有效期】国家药品标准物质不设具体有效期,按照规定条件保存的样品,在中检院发布停用通知前有效。
声明:
1.请按本品说明书规定使用,若作他用,用户须自行证明适用性;
2.因用户使用或储存不当所引起的损害或投诉,用户自行承担相关责任;
3.用户收到本品后应立即核对品种、数量、包装等,若出现质量、数量等不符,相关赔偿只限于标准物质本身,不涉及其他任何损失。