国家药品标准物质使用说明书
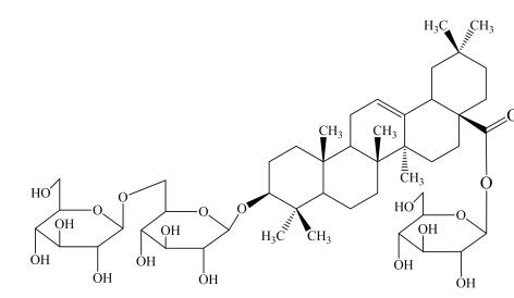
匙羹藤皂苷 C
Sylvestroside C
【类别】化学对照品
【批号】111776-200701
【结构式】

【分子式】C48H78O18
【分子量】942
【用途】匙羹藤皂苷 C (Sylvestroside C)对照品系供临床研究新药匙羹藤总苷及匙羹藤总苷胶囊项下比色法含量测定用。
【特性量值】含量以 95.7%计。
【包装】棕色西林瓶。
【规格】20mg/支。
【贮藏】干燥密闭保存。
【使用方法】使用前置五氧化二磷减压干燥器中干燥 12 小时以上。
【有效期】国家药品标准物质不设具体有效期,按照规定条件保存的样品,在中检院发布停用通知前有效。
声明:
1.请按本品说明书规定使用,若作他用,用户须自行证明适用性;
2.因用户使用或储存不当所引起的损害或投诉,用户自行承担相关责任;
3.用户收到本品后应立即核对品种、数量、包装等,若出现质量、数量等不符,相关赔偿只限于标准物质本身,不涉及其他任何损失。