国家药品标准物质使用说明书
20(S)-人参皂苷 Rg2
20(S)-Ginsenoside Rg2
【类别】化学对照品
【批号】111779-200801
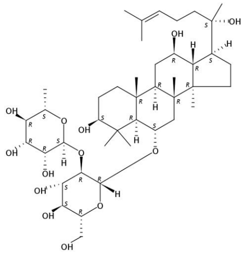
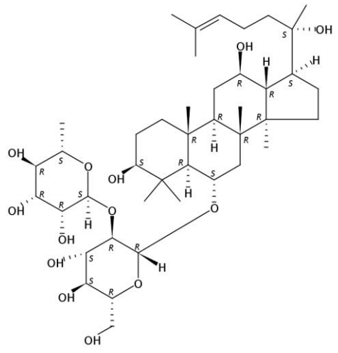
【结构式】

【分子式】C42H72O13
【分子量】784
【用途】20(S)-人参皂苷 Rg2[20(S)-Ginsenoside Rg2]对照品系供注射用益气复脉(冻干)项下鉴别和指纹图谱对照用。
【包装】棕色小瓶
【规格】20mg/支
【贮藏】干燥密闭保存。
【有效期】国家药品标准物质不设具体有效期,按照规定条件保存的样品,在中检院发布停用通知前有效。
声明:
1.请按本品说明书规定使用,若作他用,用户须自行证明适用性;
2.因用户使用或储存不当所引起的损害或投诉,用户自行承担相关责任;
3.用户收到本品后应立即核对品种、数量、包装等,若出现质量、数量等不符,相关赔偿只限于标准物质本身,不涉及其他任何损失。