国家药品标准物质使用说明书
沙苑子苷 A
Complanatuside A
【类别】化学对照品
【批号】111803-201704
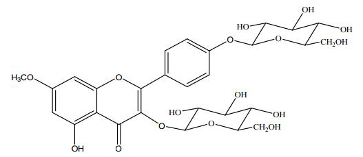
【结构式】

【分子式】C28H32O16
【分子量】624.54
【CAS 号】116183-66-5
【用途】沙苑子苷 A (Complanatuside A)对照品系供中国药典 2015版一部沙苑子项下鉴别或含量测定用。
【特性量值】含量以 99.1 计。
【包装】棕色西林瓶
【规格】20mg/支
【贮藏】冷处(2-10℃)。
【使用方法】置五氧化二磷干燥器中减压干燥 12 小时后使用。
【注意事项】本品有引湿性,建议打开包装一次性使用完。期,按照规定条件保存的样品,在中检院发布停用通知前有效。
声明:
1.请按本品说明书规定使用,若作他用,用户须自行证明适用性;
2.因用户使用或储存不当所引起的损害或投诉,用户自行承担相关责任;
3.用户收到本品后应立即核对品种、数量、包装等,若出现质量、数量等不符,相关赔偿只限于标准物质本身,不涉及其他任何损失。