国家药品标准物质使用说明书
竹节参皂苷Ⅳa(暂行)
Chikusetsusponin
【类别】化学对照品
【批号】111861-20223
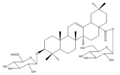
【结构式】

【分子式】C42H66O14
【分子量】794.97
【CAS 号】51415-02-2
【用途】竹节参皂苷 IVa (Chikusetsusaponin IVa)对照品系供《中国药典》2020 年版一部竹节参等项下鉴别及含量测定用。
【特性量值】含量以 94.0%计。
【使用方法】使用前不需干燥处理。
【包装】棕色安瓿
【规格】20mg/支
【贮藏】2-8℃保存。
【注意事项】本品具有引湿性,建议打开包装后一次使用完毕。
【有效期】国家药品标准物质不设具体有效期,按照规定条件保存的样品,在中检院发布停用通知前有效。
声明:
1.请按本品说明书规定使用,若作他用,用户须自行证明适用性;
2.因用户使用或储存不当所引起的损害或投诉,用户自行承担相关责任;
3.用户收到本品后应立即核对品种、数量、包装等,若出现质量、数量等不符,相关赔偿只限于标准物质本身,不涉及其他任何损失。