JSRM-国家标准物质销售平台www.bzwz.net.cn/shop
全国免费客服热线:400-885-6122
产品信息
编号:NIFDC-112023 英文:Terrestrosin K
名称:蒺藜皂苷 K 品牌:中检院
CAS:193605-7-1 分类:中国药典CP(中检院对照品)
包装 规格 库存 售价 数量
20mg,含量测定 2192.0 加入购物车
详细描述:(样板仅参考,具体需参照对应批次证书)
国家药品标准物质使用说明书
蒺藜皂苷 K (暂行) 
Terrestrosin K 
【类别】化学对照品 
【批号】112023-201601 
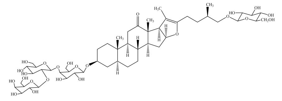
【结构式】 

【分子式】C51H82O24
【分子量】1079.18
【CAS 号】193605-07-1
【用途】蒺藜皂苷K(Terrestrosin K)对照品系供国家食品药品监督管理总局标准蒺藜皂苷胶囊(YBZ01172015)和蒺藜皂苷提取物(YBZ01162015)项下鉴别和含量测定用。
【特性量值】含量以90.6%计。
【包装】棕色安瓿
【规格】20mg/支
【贮藏】冷处(2-10 ℃) 保存。
【使用方法】使用前不需干燥处理。
【注意事项】本品具有引湿性,建议打开包装一次性使用完。
【有效期】国家药品标准物质不设具体有效期,按照规定条件保存的标准物质,在中检院发布停用通知前有效。
声明:
1.请按本品说明书规定使用,若作他用,用户须自行证明适用性;
2.因用户使用或储存不当所引起的损害或投诉,用户自行承担相关责任;

3.用户收到本品后应立即核对品种、数量、包装等,若出现质量、数量等不符,相关赔偿只限于标准物质本身,不涉及其他任何损失。


©copyRight 2024 北京嘉世玉禾化工技术研究院 All Rights Reserved. 京ICP备15024501号-1